Back to Home Page of CD3WD Project or Back to list of CD3WD Publications

Comment améliorer la valeur nutritive du maïs

Table des matières - Précédente - Suivante

Etant donné la grande importance du maïs comme aliment de base pour des populations nombreuses, en particulier dans les pays en développement, et sa faible valeur nutritionnelle, surtout du point de vue des protéines, beaucoup de tentatives ont été faites pour améliorer l'utilisation biologique des éléments nutritifs qu'il contient. Trois approches ont été retenues: les manipulations génétiques, la transformation et la fortification. La grande variabilité de la composition chimique du maïs est abondamment attestée. Bien que le milieu naturel et les pratiques culturales puissent jouer un rôle, la variabilité des divers composants chimiques est d'origine génétique; par conséquent, ils peuvent être modifiés moyennant des manipulations appropriées. Les efforts déployés dans ce sens ont surtout porté sur la composition en glucides, la quantité et la qualité de l'huile et des protéines. Certaines tentatives se sont également orientées vers d'autres composés chimiques tels que l'acide nicotinique et les caroténoïdes. Le potentiel d'amélioration de la valeur nutritive que recèle la transformation est moins largement admis; pourtant, on en proposera ci-après quelques exemples. Enfin, on s'est efforcé de fortifier le maïs de diverses manières, et cela avec des résultats remarquables mais, malheureusement, à petite échelle. Cependant, cette méthode pourrait prendre de l'importance à l'avenir, à mesure que les populations consommeront davantage de denrées alimentaires d'origine industrielle, plus faciles à fortifier efficacement.

Méthodes génétiques

Glucides

Le composant qui se trouve à la plus forte concentration dans le grain de maïs est l'amidon. Etant donné que la plante accumule l'amidon dans l'albumen, sujet à influence génétique, l'amidon peut devenir une bonne source d'énergie. La quantité et la qualité de la fraction glucides peuvent être modifiées par multiplication, comme l'ont décrit Boyer et Shannon (1983) et Shannon et Garwood (1984).

On a pu montrer que le gène waxy (Wx) du maïs cireux déterminait l'amylopectine de l'amidon de l'albumen jusqu'à 100 pour cent, avec de très faibles quantités d'amylose (Creech, 1965). Il a été établi aussi que d'autres gènes ou combinaisons de gènes étaient responsables de la composition de l'amidon dans l'albumen. Le gène amylose-extender (Ae) accroît la fraction amylose de l'amidon de 27 à 50 pour cent (Vineyard et al., 1958). D'autres gènes entraînent un accroissement des sucres réducteurs et du saccharose. Les gènes sugary (Su) produisent des quantités relativement importantes de polysaccharides hydrosolubles et d'amylose. Les grains de maïs contenant ce gène sont sucrés et revêtent une certaine importance pour la conserve. Leur teneur en amidon et leur qualité ont également des incidences nutritionnelles parce que certains granules d'amidon présentent une faible digestibilité, alors que d'autres ont une digestibilité élevée, comme1'ont montré Sandstead, Hites et Schroeder (1968). Ces chercheurs ont avancé l'hypothèse que les variétés de maïs à gènes waxy ou sugary pourraient offrir une meilleure valeur nutritionnelle pour les animaux monogastriques, en raison de la plus grande digestibilité de l'amidon qu'elles produisent.

Quantité de protéines

Les études entreprises à l'Université d'Illinois ont montré qu'il était possible de modifier la teneur en protéines du grain de maïs par sélection. Ces études ont permis de montrer que la teneur en protéines pouvait être portée de 10,9 à 26,6 pour cent dans la souche à haute teneur en protéines (HP) après 65 générations de sélection. Dudley, Lambert et Alexander (1974) et Dudley, Lambert et de la Roche (1977) ont démontré que la teneur en protéines de lignées autofécondées standard pouvait être accrue par croisement avec la souche HP de l'Illinois puis rétrocroisement avec la lignée stable. Woodworth et Jugenheimer (1948) sont parvenus à la conclusion que la teneur totale en protéines pourrait être augmentée par sélection dans une variété pollinisée ouverte ou par croisement de lignées autofécondées standard avec une souche HP, suivi de rétrocroisement et de sélection dans des populations en disjonction.

La pleine expression des gènes du maïs qui contrôlent les protéines peut être atteinte avec des niveaux appropriés d'engrais azotés. Tsai, Huber et Warren (1978, 1980) et Tsai et al. (1983) ont montré que l'application d'engrais azotés sur les cultures de maïs accroissait les protéines totales par suite d'une augmentation de la teneur en prolamine. D'autres études ont montré, toutefois, que la qualité protéique des souches HP était inférieure à celle du maïs commun étant donné que l'accroissement des protéines était dû à une augmentation de la fraction prolamine. Eggert, Brinegar et Anderson (1953), qui ont fait des études sur le porc, ont montré que le maïs HP avait une moindre valeur biologique que le maïs commun, constatation qu'ils ont attribuée à la teneur plus élevée en prolamine du maïs HP par rapport au maïs à teneur normale en protéines. La valeur d'un grain de maïs HP dépendra de la manière dont il se comporte sur les plans agronomiques et économiques par rapport à un mais contenant environ 10 pour cent de protéines. Les données disponibles montrent que ces types de maïs non seulement exigent davantage d'azote dans le sol, mais rendent moins que le maïs à teneur protéique normale.

Qualité des protéines

La faible qualité protéique du maïs s'explique avant tout par la carence en protéines des acides aminés indispensables que sont la lysine et le tryptophane. Pourtant, une certaine variabilité de la teneur de ces deux acides aminés a pu être mise en évidence (Bressani, Arroyave et Scrimshaw, 1953; Bressani et al., 1960). Dès 1949, Frey, Brimhall et Sprague ont pu mettre en évidence la variabilité génétique à l'égard de la teneur en tryptophane dans un croisement entre les souches Illinois à haute comme à faible valeur protéique, ainsi que dans les hybrides. Une expérimentation biologique dans laquelle des souches de maïs fournissaient un même niveau de protéines dans l'alimentation, a également fait apparaître une certaine variabilité.

L'ensemble de ces données tend à montrer qu'il est possible d'améliorer la qualité des variétés de maïs. Mertz, Bates et Nelson ( 1964) ont constaté que le gène opaque-2 augmentait sensiblement la teneur en lysine et en tryptophane de l'albumen du maïs. Ce gène abaissait également le niveau de leucine, ce qui donnait un meilleur rapport leucine/isoleucine. En 1965, Nelson, Mertz et Bates ont montré que le gène floury-2, s'il est homozygote, peut également accroître les teneurs du maïs en lysine et en tryptophane. Les recherches du Centre international d'amélioration du maïs et du blé (CIMMYT) ont permis d'obtenir des lignées de maïs QPM qui, d'un point de vue agronomique, se comportent comme le maïs commun. Comme indiqué ailleurs dans cet ouvrage, la qualité protéique de ces maïs est sensiblement supérieure à celle du maïs commun, ainsi que l'a démontré l'expérimentation chez l'homme.

Bien que ces mais soient disponibles, il a été difficile de les cultiver à échelle commerciale, alors même que les bénéfices à en attendre pour des populations consommant de grandes quantités de maïs seraient considérables.

Huile

Les études génétiques ont également révélé que la teneur en huile du maïs est soumise à l'influence génétique, avec de fréquentes variations, bien que le milieu et les pratiques agronomiques puissent influer sur la composition en acides gras (Jellum et Marion, 1966; Leibovits et Ruckenstein, 1983). En ce qui concerne la teneur en protéines, la sélection de masse sur 65 ans a permis de porter la teneur en huile de 4,7 à 16,5 pour cent. Pour cela, on a procédé à des augmentations de la taille du germe. Le problème que posent les variétés à forte teneur en huile reste leur faible rendement, encore que l'on ait indiqué que des variétés contenant de 7 à 8 pour cent d'huile rendaient autant que des variétés à plus faible teneur en huile. Outre la teneur totale en huile, certaines études ont montré que la teneur en acides gras peut également être déterminée génétiquement, comme en témoignent des modifications de la teneur en acide linolénique de l'huile de maïs. Poneleit et Alexander ( 1965) ont proposé l'explication d'un gène unique ou d'un gène unique plus modificateur. D'autres chercheurs ont proposé un système d'héritage à gènes multiples. On a constaté que la composition en acides gras de l'huile de maïs à haute qualité protéique était similaire à celle du maïs commun.

Autres éléments nutritifs

A cause de l'association de la consommation de maïs avec la pellagre et de la faible disponibilité de l'acide nicotinique dans le maïs, on s'est efforcé d'accroître la teneur du maïs en niacine par des moyens génétiques. Pour 22 variétés semées en un même endroit, la variabilité allait de 1,25 à 2,6 mg par 100 a (Aguirre, Bressani et Scrimshaw, 1953). Le problème que pose la niacine du maïs et des autres céréales est qu'elle n'est pas disponible pour l'organisme animal.

L'autre élément nutritif qui a retenu l'attention est le carotène, précurseur de la vitamine A. Les résultats obtenus par certains chercheurs ont mis en évidence une variation de l'activité en vitamine A du maïs jaune, allant de 1,52 à 2,58 µg par gramme. La cryptoxanthéine assurait de 38,3 à 57,3 pour cent de l'activité totale, le solde étant fourni par le bêta-carotène (Squibb, Bressani et Scrimshaw, 1957). D'autres chercheurs ont indiqué que l'activité de la provitamine A serait déterminée génétiquement dans le grain de maïs.

Transformation

Le plus souvent, la transformation des produits alimentaires stabilise les éléments nutritifs, mais des pertes peuvent se produire lorsque les conditions optimales sont dépassées. Toutefois, il existe des cas où la transformation entraîne des modifications bénéfiques. L'élimination des facteurs antiphysiologiques des haricots en est l'exemple classique.

Cuisson à la chaux

La cuisson à la chaux du maïs, décrite au chapitre 4, entraîne quelques pertes d'éléments nutritifs, mais elle est également à l'origine de certaines modifications nutritionnelles importantes. Ses effets sur la teneur en calcium, en acides aminés et en niacine ont été décrits au chapitre 3.

Autres procédés

Outre la cuisson à la chaux, d'autres procédés amélioreraient la qualité du maïs. L'un de ces procédés est la fermentation naturelle du maïs cuit, qui se traduit par une élévation de la concentration en vitamine B et de la qualité protéique (Wang et Fields, 1 978). C'est ainsi qu'on a pu montrer que le pozol aliment préparé à partir de maïs traité à la chaux qu'on laisse fermenter naturellement - avait une qualité supérieure au maïs cru ou aux tortillas. On a également signalé que la germination du grain améliorait la valeur nutritionnelle du maïs en élevant la teneur en lysine et en tryptophane (Tsai, Dalby et Jones, 1975; Martinez, Gómez-Brenes et Bressani, 1980) et en abaissant la teneur en zéine. Un résultat comparable a été obtenu avec le maïs à haute qualité protéique.

Fortification

Un troisième moyen auquel on a fréquemment recours pour améliorer la valeur nutritive des produits alimentaires, et notamment des céréales, est la fortification. Etant donné les importantes limitations nutritionnelles du maïs, de nombreux efforts ont été consacrés à l'amélioration de sa qualité, et surtout de celle de ses protéines, grâce à l'addition d'acides aminés ou de sources de protéines riches en acides aminés limitants.

Supplémentation par les acides aminés

On a pu montrer que les protéines du maïs cru étaient pauvres en valeur nutritive à cause des carences en lysine et en tryptophane, deux acides aminés indispensables. De nombreuses études sur l'animal ont démontré que l'addition de l'un et l'autre acides aminés améliore la qualité des protéines. Certains chercheurs ont même constaté qu'outre la carence en lysine et en tryptophane il y a également carence en isoleucine, peut-être par suite d'un excès de leucine dans les protéines du maïs (Rosenberg, Rohdenburg et Eckert, 1960). Des résultats analogues ont été fournis par des études sur l'animal lorsque le maïs traité à la chaux était supplémenté par la lysine et le tryptophane (Bressani, Elías et Braham, 1968). Ces résultats ont été confirmés lors d'études sur le bilan azoté faites sur des enfants, comme indiqué au chapitre 6. (Le tableau 32 reproduit un certain nombre de ces résultats.) On n'a pas toujours tenu suffisamment compte de la constatation que l'addition de lysine et de tryptophane aux niveaux inférieurs d'ingestion de protéines donnait une rétention d'azote sensiblement supérieure à celle que donnaient les niveaux supérieurs d'ingestion des protéines, l'importance de la qualité des protéines étant quelque peu obscurcie par celle de l'apport en énergie.

TABLEAU 40 - Niveaux recommandés de concentrés de protéines destinés à améliorer la qualité protéique du maïs traité à la chaux

Source de protéines Niveau recommandé (%) Coeficient d'efficacité protéique
Néant   1,00
Caséine 4,0 2,24
Concentré de protéines de poisson 2,5 2,44
Isolat de protéines de soja 5,0 2,30
Farine de soja 8,0 2,25
Levure de torula 2,5 1,97
Protéines d'œu1 3,0 2,24
Farine de viande 4,0 2,34
Farine de coton 8,0 1,83

Supplémentation par des sources de protéines

Les résultats d'études animales et humaines, avec addition d'acides aminés limitants au maïs préparé à la chaux ont servi de base pour évaluer différents types de suppléments protéiques destinés à améliorer sa qualité en protéines. Des études sur la supplémentation protéique de la farine de maïs traité à la chaux ont été publiées par de nombreux chercheurs qui ont fait appel à différentes sources alimentaires, parmi lesquelles le lait, le sorgho, la farine de coton, la farine de poisson, la levure de torula et la caséine. Le tableau 40 résume les résultats obtenus en ajoutant de petites quantités recommandées de diverses sources de protéines. Le gain de qualité est d'au moins 200 pour cent de la valeur qualitative des protéines du maïs. Lors d'expériences sur de jeunes chiens, les bilans azotés obtenus avec le maïs supplémenté au moyen de 5 pour cent de lait écrémé, 3 pour cent de levure de torula et 4 pour cent de farine de poisson étaient sensiblement supérieurs à ceux mesurés lorsque l'alimentation ne comprenait que du maïs. La plupart des suppléments qui ont été expérimentés ont plusieurs caractéristiques en commun. Ils ont tous une teneur relativement élevée en protéines et sont de bonnes sources de lysine, à l'exception des protéines des graines de coton et de la farine d'huile de sésame. Cette dernière est une excellente source de méthionine. Mis à part la caséine, le lait et le concentré de protéines de poisson, ces suppléments sont tous d'origine végétale.

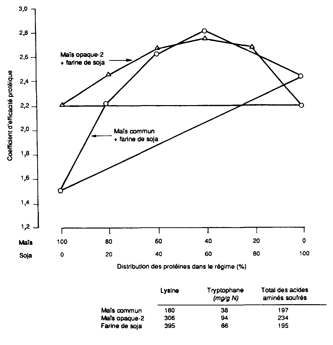
FIGURE 3 - Coefficient d'efficacité protéique de combinaisons de maïs commun ou opaque-2 et de farine de soja

L'amélioration de la qualité des protéines dans la farine à tortilla procède dans la plupart des cas de la synergie de l'amélioration qualitative due à la lysine et au tryptophane, et de la réponse due au renforcement des protéines, fournies l'une et l'autre par le supplément. Etant donné que les protéines de soja sous différentes formes sont le supplément de la farine à tortilla le plus fréquemment expérimenté par les différents chercheurs, et parce que c'est à peu près le seul supplément à avoir été testé chez les enfants, avec des résultats comparables à ceux des études chez l'animal, son importance et ses effets seront passés en revue dans cette section. La figure 3 fait apparaître le coefficient d'efficacité protéique obtenu dans des combinaisons de maïs commun ou opaque-2 et de farine de soja dans différentes proportions.

Les études montrent que le coefficient d'efficacité protéique maximal est obtenu par addition de 4 à 6 a pour cent de protéines de soja, que celles-ci proviennent du soja entier, de la farine de soja (50 pour cent), de concentré de protéines de soja ou d'isolat de protéines de soja (Bressani, Elías et Braham, 1978; Bressani et al., 1981). Pour des raisons de disponibilité, de coût et d'applications pratiques dans les pays en développement, les résultats obtenus avec le soja entier sont discutés ici. Le niveau de 4 à 6 a pour cent de protéines supplémentaires peut être fourni soit par 15 pour cent de soja entier, soit par 8 pour cent de farine de soja, lesquels ont permis d'obtenir une amélioration comparable de la qualité protéique. L'avantage des fèves de soja entières à 15 pour cent est que la supplémentation peut être assurée à domicile au moyen du soja produit par le ménage. Les fèves de soja sont très économiques; elles fournissent un produit alimentaire dont l'apport protéique est supérieur en quantité et en qualité, et elles apportent un complément d'énergie grâce à l'huile qu'elles contiennent.

Que la supplémentation soit faite à domicile ou dans un établissement industriel, on a démontré que la qualité nutritionnelle s'améliore, dans la mesure où le procédé est capable de détruire l'ensemble de l'activité inhibitrice de la trypsine des fèves de soja (Del Valle et Pérez-Villasenor, 1974; Del Valle, Montemayor et Bourges, 1976; Bressani, Murillo et Elías. 1974; Bressani et al., 1979). On a pu montrer que les tortillas préparées avec 15 pour cent de fèves de soja sont acceptables pour les consommateurs ruraux et qu'elles présentent un bon nombre des propriétés des tortillas sans fèves de soja, si ce n'est qu'elles sont plus souples et plus moelleuses. Diverses tentatives ont été faites pour acclimater cette technologie au niveau industriel et dans les ménages, mais cela n'a pas pu être durablement réalisé pour diverses raisons' parmi lesquelles le coût du soja et (peut-être) des modifications des caractéristiques organoleptiques.

TABLEAU 41 - Bilan azoté d'enfants d'âge préscolaire nourris au lait, au mais normal et au maïs supplémenté en sojallysine

Compte tenu de l'accroissement relatif des quantités de farine de maïs traitée à la chaux fabriquées à l'échelle industrielle, la fortification au moyen de sources de protéines et autres éléments nutritifs est réalisée dans de bonnes conditions de rentabilité par mélange à sec, comme dans le cas des autres farines de céréales. Ce n'est pas la technologie qui pose le plus de problèmes mais l'absence d'une réglementation qui, si elle était appliquée, permettrait d'améliorer la qualité des tortillas de maïs, comme cela se fait dans de nombreux pays du monde pour la farine de froment. Les études décrites plus haut ont conduit à la mise au point d'un supplément sec de la farine à tortilla contenant 97,5 a pour cent de farine de soja (50 pour cent de protéines), 1,5 pour cent de L-lysine HCI, 26,8 mg pour cent de thiamine, 16,2 mg pour cent de riboflavine, 19,3 mg pour cent de niacine, 0,60 pour cent d'orthophosphate ferrique, 0,031 pour cent de vitamine A 250 et 0,13 3 pour cent d'amidon de maïs. La quantité recommandée pour addition à la farine à tortilla était de 8 pour cent en poids. Le tableau 41 (Viteri, Martnez et Bressani, 1972) fait apparaître les résultats d'études de bilan azoté chez les enfants nourris ainsi. Le bilan azoté du maïs ne représentait que 42 pour cent du bilan azoté du1ai t. Lorsqu'on donnait du maïs additionné du supplément, l'équilibre azoté représentait 84 pour cent de celui du lait. Toutes les études, chez les animaux comme chez les enfants, font apparaître la même réponse, c'est-à-dire une amélioration significative de la qualité protéique du maïs. L'efficacité de ce supplément a été partiellement expérimentée par Urrutia et al. ( 1976), les premiers résultats faisant apparaître une certaine amélioration de l'état nutritionnel des jeunes enfants. On a pu montrer que d'autres aliments à base de maïs, tels que les arepas et les produits fermentés dérivés du maïs, étaient améliorés par la supplémentation à la farine de soja.

FIGURE 4 - Valeur protéique de mélanges de deux céréales

Supplémentation aux légumes verts

Dans certains pays, la masa est consommée sous forme de tamalito. Ce dernier est confectionné en enveloppant la pâte dans des spathes de maïs et en la plaçant au-dessus d'une source de vapeur. Les tumalitos sont fréquemment consommés à la place des tortillas et ils ont l'avantage de rester moelleux plus longtemps. Il existe plusieurs recettes, dont certaines font appel aux jeunes pousses de légumes indigènes tels que la crotalaria et l'amarante. Des études chimiques et nutritionnelles ont montré que l'addition de 5 pour cent environ de ces feuilles améliore la qualité protéique de la pâte (Bressani, 1983). La raison en est qu'elles contiennent des niveaux relativement élevés de protéines riches en lysine et en tryptophane. Elles fournissent également des sels minéraux et des vitamines, et notamment de la provitamine A. On a pu montrer aussi que des concentrés de protéines des feuilles amélioraient la qualité protéique des grains de céréales (Maciejewicz-Rys et Hanczakowski, 1989).

Supplémentation par d'autres grains

Le sorgho a également été traité par cuisson à la chaux au Mexique et en Amérique centrale, en particulier dans les régions où le maïs ne pousse pas bien. Toutefois, les tortillas de sorgho n'ont pas la même qualité organoleptique ou nutritionnelle que les tortillas de maïs. Plusieurs tentatives réussies ont été faites pour utiliser des mélanges de ces deux céréales, notamment par Vivas, Waniska et Rooney (1987) et Serna-Saldivar et al. (1987, 1988a, 1988b). Il existe d'autres méthodes, par exemple l'utilisation de mélanges de maïs commun, puisque l'on a affirmé que la germination accroissait la teneur en lysine. Des mélanges de farines à tortilla et de riz, ou de farine à tortilla et de farine de froment, ont également été étudiés. Les produits à base le riz/maïs ont une plus grande valeur nutritive que les tortillas de froment/ maïs, ainsi qu'il ressort de la figure 4. Ces résultats font apparaître la supériorité du riz sur la farine de maïs entier et celle de cette dernière sur la farine de froment. Plus récemment, on a pu montrer que des mélanges de grains d'amarante et de farine de maïs cuite à la chaux présentaient une qualité protéique améliorée en raison de la teneur très supérieure en lysine et en tryptophane de l'amarante par rapport au mais. On a affirmé que le produit offrait une qualité organoleptique acceptable. Parmi les autres produits d'ajout, on peut citer la pomme de terre, le riz et les haricots pinto, qui fournissent des aliments aux qualités organoleptiques acceptables.

FIGURE 5 - Coefficient d'efficacité protéique de combinaisons de maïs commun ou opaque-2 et de haricots noirs

Aliments à protéines de haute qualité

La valeur nutritionnelle du maïs, et particulièrement celle des protéines, peut aussi être améliorée par un complément de protéines. Ici, l'objectif consiste à combiner au maïs deux sources protéiques ou plus pour maximiser la qualité du produit en réalisant un bon équilibre des acides aminés essentiels. Cette approche a permis de mettre au point un certain nombre d'aliments de haute qualité. (Des résultats similaires peuvent être obtenus avec d'autres céréales.)

On trouvera à la figure 5 un exemple de complémentation du maïs commun et du maïs à haute qualité protéique avec des haricots noirs communs. Ici, le remplacement à teneur égale de l'azote des haricots par l'azote du maïs à haute qualité protéique s'est traduit par un accroissement constant jusqu'à un niveau correspondant à 50 pour cent des protéines de chaque composante, sans autre modification à mesure que l'azote du mélange était assuré en quantité croissante par le maïs QPM. Un résultat similaire est observé avec des mélanges de haricots et de maïs commun, avec cette différence que plus l'azote alimentaire est fourni par le mais et plus la qualité protéique s'abaisse. D'autres études ont indiqué que, sur le côté gauche de la réponse maximale, la méthionine était l'acide aminé limitant, tandis que sur le côté droit c'était la lysine. Le pic a été obtenu quand le mais bénéficiait de la lysine des haricots et les haricots de la méthionine du maïs. Cette réponse a servi de base pour formuler des mélanges d'aliments à haute qualité protéique contenant 70 pour cent de maïs et 30 pour cent de haricots communs.

Une réponse analogue est observée avec des mélanges de maïs commun et de maïs QPM et de farine de soja. En poids, le pic de ce mélange équivaut à 77 pour cent de maïs et 23 pour cent de farine de soja. Toutefois, lorsqu'on utilise de la farine de soja entière, le mélange représente en poids 70 pour cent de maïs et 30 pour cent de farine de soja. Ce produit, appelé maisoy', est vendu en Bolivie. Il sert à améliorer le maïs traité à la chaux destiné à la confection des tortillas ou de substance d'ajout de la farine de froment pour les produits de boulangerie. D'autres farines d'oléagineux ont été utilisées dans des conditions analogues, par exemple la farine de coton et le mais. Dans ce cas, les deux ingrédients qui se complètent n'ont pas d'effet de synergie. On obtient des mélanges de qualité optimale lorsque la farine de coton fournit environ 78 pour cent des protéines et le mais 22 pour cent. En poids, cette répartition équivaut à 40 pour cent de farine de coton et 60 pour cent de farine de maïs, ce qui constitue la proportion de l'incaparina produite au Guatemala depuis 1960.

De nombreux autres mélanges de maïs et d'autres produits alimentaires ont été mis au point. Le Département de l'agriculture des Etats-Unis est associé depuis 1957 à la mise au point des produits et des procédés; des produits tels que le lait de maïs-soja instantané et sucré et le pain de maïs-soja sont bien connus dans les pays en développement. De nombreux autres mélanges ont été mis au point à partir de maïs commun et de maïs à haute qualité protéique ainsi que d'autres sources de protéines, fournissant des produits à la fois très nourrissants et parfaitement acceptables.


Table des matières - Précédente - Suivante