Back to Home Page of CD3WD Project or Back to list of CD3WD Publications

1. What are mycotoxins?

Contents

Mycotoxins are poisonous chemical compounds produced by certain fungi. There are many such compounds, but only a few of them are regularly found in food and animal feedstuffs such as grains and seeds. Nevertheless, those that do occur in food have great significance in the health of humans and livestock. Since they are produced by fungi, mycotoxins are associated with diseased or mouldy crops, although the visible mould contamination can be superficial.

The effects of some food-borne mycotoxins are acute, symptoms of severe illness appearing very quickly. Other mycotoxins occurring in food have longer term chronic or cumulative effects on health, including the induction of cancers and immune deficiency.

Information about food-borne mycotoxins is far from complete, but enough is known to identify them as a serious problem in many parts of the world, causing significant economic losses.


2. Food-borne mycotoxins

There are five mycotoxins, or groups of mycotoxins, that occur quite often in food: deoxynivalenol/nivalenol; zearalenone; ochratoxin; fumonisins; and aflatoxins. Table 1 summarises the staple food commodities they affect, the fungal species that produce them, and the main effects observed in humans and animals. T-2 toxin is also found in a variety of grains but its occurrence, to date, is less frequent than the preceding five mycotoxins.

The food-borne mycotoxins likely to be of greatest significance for human health in tropical developing countries are the fumonisins and aflatoxins.

Fumonisins were discovered as recently as 1988 so there is little information on their toxicology. To date, there is sufficient evidence in experimental animals for the carcinogenicity of cultures of Fusarium moniliforme that contain significant amounts of fumonisins; and there is limited evidence in experimental animals for the carcinogenicity of fumonisin B1.

F. moniliforme growing in maize may produce fumonisin B1, a suspected human carcinogen. Also, fumonisin B1 is toxic to pigs and poultry, and is the cause of equine leucoencephalomalacia (ELEM), a fatal disease of horses.

TABLE 1. MYCOTOXINS IN STAPLE GRAINS AND SEEDS.

Mycotoxin Commodity Fungal source(s) Effects of ingestion
deoxynivalenol/nivalenol wheat, maize, barley reported from Fusarium graminearum Human toxicoses India, China, Japan, and Korea. Toxic to animals, especially pigs
Fusarium crookwellense
Fusarium culmorum
zearalenone maize, wheat F. graminearum Identified by the International Agency for Research on Cancer (IARC) as a possible human carcinogen. Affects reproductive system in female pigs
F. culmorum
F. crookwellense
ochratoxin A barley, wheat, and many other commodities Aspergillus ochraceus Suspected by IARC as human carcinogen. Carcinogenic in laboratory animals and pigs
Penicillium verrucosum
fumonisin B1 maize Fusarium moniliforme plus several less common species Suspected by IARC as human carcinogen. Toxic to pigs and poultry. Cause of equine eucoencephalomalacia (ELEM), a fatal disease of horses
aflatoxin B1, B2 maize, peanuts, and many other commodities Aspergillus flavus Aflatoxin B1, and naturally occurring mixtures of aflatoxins, identified as potent human carcinogens by IARC. Adverse effects in various animals, especially chickens
aflatoxin B1, B2, G1, G2 maize, peanuts Aspergillus parasiticus

Fumonisins have been found as a very common contaminant of maize-based food and feed in Africa, China, France, Indonesia, Italy, the Philippines, South America, Thailand, and the USA. Strains of F. moniliforme from maize from all over the world, including Africa, Argentina, Brazil, France, Indonesia, Italy, the Philippines, Poland, Thailand, and the USA, produce fumonisins. At present, strains of F. moniliforme isolated from sorghum are considered to be poor producers of fumonisins.

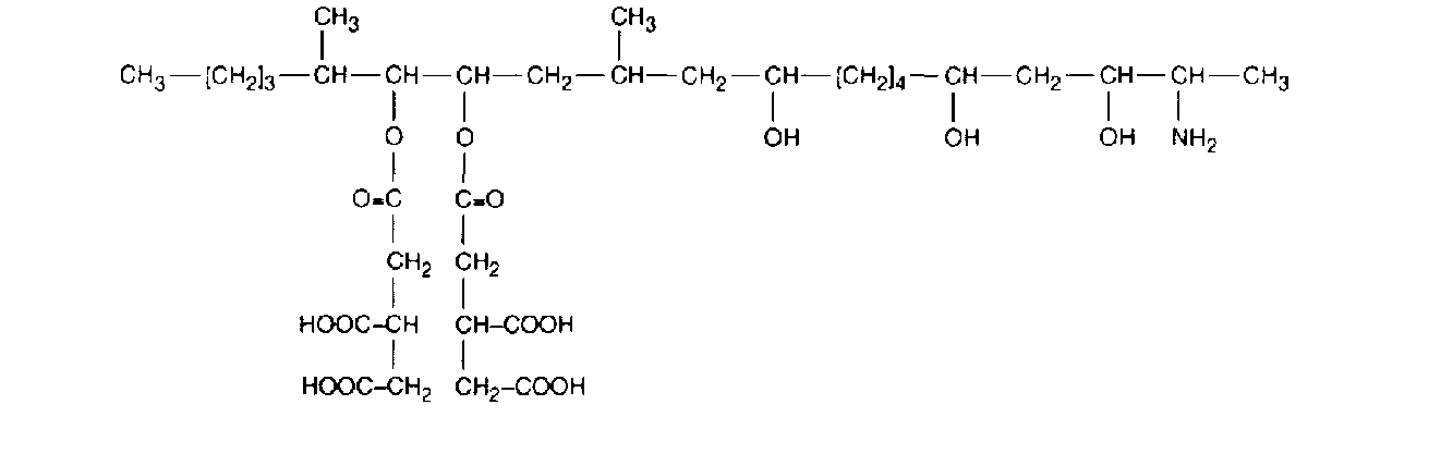
Chemical structure of fumonisin B1

Aflatoxins were discovered over 30 years ago and have been subject to a great deal of research. They are potent human carcinogens and interfere with the functioning of the immune system. Among livestock, they are particularly toxic to chickens.

In 1993, the International Agency for Research on Cancer (IARC) assessed and classified naturally occurring mixtures of aflatoxins as class 1 human carcinogens. Aflatoxins B1, B2, G1, and G2 have been found to occur in commodities in the Americas and Africa, and have been detected in human sera. IARC has concluded that aflatoxin B1 is a class 1 human carcinogen. Residues of aflatoxin B. and/or its metabolite, aflatoxin M,, can occur in animal products, including milk. Aflatoxin M, is also found in human milk if the mother consumes food containing aflatoxin B1. IARC has given aflatoxin M, a lower carcinogenicity rating than aflatoxin B1.

It is clear that exposure to aflatoxins is hazardous to human health. For that reason, most countries have regulations governing the allowable concentrations of aflatoxin in food and feed (see page 10).

Aflatoxin B., the most toxic of the aflatoxins, causes a variety of adverse effects in different domestic animals. Effects on chickens include liver damage, impaired productivity and reproductive efficiency, decreased egg production in hens, inferior egg-shell quality, inferior carcass quality and, most important from a human perspective, increased susceptibility to disease.

 


3. Fungal ecology and mycotoxin production in food

The fungi that produce mycotoxins in food fall broadly into two groups: those that invade before harvest, commonly called field fungi, and those that occur only after harvest, called storage fungi.

There are three types of toxicogenic field fungi:

In all these cases there is a more or less well-defined association between the fungus and its plant host.

Aspergillus and Fusarium species are likely to be the most significant mycotoxin-producing field fungi found in tropical developing countries.

Mouldy, damaged peanuts. High levels of aflatoxins in this commodity have frequently been found in parts of South-East Asia - a result of poor handling and storage practices.

Fusarium kernel rot is one of the most important ear diseases of maize in hot growing areas. It is associated with warm, dry years and/or insect damage.

There is a strong relationship between insect damage and fusarium kernel rot. It has been found during field survey work, for example, that the incidence of the European corn borer increased F. moniliforme disease and fumonisin concentrations.

Maize infected with fusarium kernel rot, one of the most important ear diseases of maize in hot growing ares.

Temperature stress of the growing plant is also important. Studies of fumonisin occurrence in maize hybrids grown across the U.S. corn belt and in Europe and Africa, indicate that hybrids grown outside their range of temperature adaptation have higher fumonisin concentrations.

After harvest, when grains or seeds have become moribund or dormant as a result of drying, associations between fungi and plants disappear, and physical factors dictate whether or not members of the other group - the storage fungi - will grow and/or produce mycotoxins. The primary factors influencing fungal growth in stored food products are the moisture content (more precisely, the water activity) and the temperature of the commodity. in practice in the tropics, the temperature is almost always suitable for storage fungi, so it is the water activity that becomes the prime determinant of fungal invasion and growth.

 


4. Prevention and control of mycotoxins in stored grains and seeds

Dry the grain

Fungi cannot grow (or mycotoxins be produced) in properly dried foods, so efficient drying of commodities and maintenance of the dry state is an effective control measure against fungal growth and mycotoxin production.

To reduce or prevent production of most mycotoxins, drying should take place as soon after harvest and as rapidly as feasible. The critical water content for safe storage corresponds to a water activity (aw) of about 0.7. Maintenance of foods below 0.7 aw is an effective technique used throughout the world for controlling fungal spoilage and mycotoxin production in foods.

Problems in maintaining an adequately low aw often occur in the tropics, where high ambient humidities make control of commodity moisture difficult. Where grain is held in bags, systems that employ careful drying and subsequent storage in moisture-proof plastic sheeting may overcome this problem.

Prompt, proper drying is the best means to avoid fungal growth and mycotoxin production in grain after harvest. At times when sun drying is not possible or unreliable some form of mechanical drying may be necessary. Machanical dryers need not be expensive. This 1 t capacity dryer developed in Vietnam in a GTZ-International Rice Research Institute project costs only US$55 to build and has low running costs.

While it is possible to control fungal growth in stored commodities by controlled atmospheres or use of preservatives or natural inhibitors, such techniques are almost always more expensive than effective drying, and are thus rarely feasible in developing countries.

Avoid grain damage

Damaged grain is more prone to fungal invasion and therefore mycotoxin contamination. It is thus important to avoid damage before and during drying, and in storage. Drying of maize on the cob, before shelling, is a very good practice.

Insects are a major cause of damage. Field insect pests and some storage species damage grain on the head and promote fungal growth in the moist environment of the ripening grain. In storage, many insect species attack grain, and the moisture that can accumulate from their activities provides ideal conditions for the fungi. To avoid moisture and mould problems, it is essential that numbers of insects in stored grain be kept to a minimum. Such problems are compounded if the grain lacks adequate ventilation, particularly if metal containers are used.

Ensure proper storage conditions

While keeping commodities dry during storage in tropical areas can be difficult, the importance of dry storage cannot be overemphasized. On a small scale, polyethylene bags are effective; on a large scale, safe storage requires well-designed structures with floors and walls impermeable to moisture. Maintenance of the water activity of the stored commodity below 0.7 is crucial.

In tropical areas, outdoor humidities usually fall well below 70% on sunny days. Appropriately timed ventilation, fan-forced if necessary, will greatly assist the maintenance of the commodity at below 0.7 aw. Ideally, all large-scale storage areas should be equipped with instruments for measuring humidity, so that air appropriate for ventilation can be selected.

Sealed storage under modified atmospheres for insect control is also very effective for controlling fungal growth, provided the grain is adequately dried before storage, and provided diurnal temperature fluctuations within the storage are minimised.

If commodities must be stored before adequate drying this should be for only short periods of no more than, say, three days. Use of sealed storage or modified atmospheres will prolong this safe period, but such procedures are relatively expensive and gaslight conditions are essential.

A proven system of storage management is needed, with mycotoxin considerations an integral part of it. A range of decision-support systems is becoming available covering the varying levels of sophistication and scale involved.

 


5. Detecting mycotoxins

Mycotoxins occur, and exert their toxic effects, in extremely small quantities in foodstuffs. Their identification and quantitative assessment thus generally require sophisticated sampling, sample preparation, extraction, and analytical techniques.

Under practical storage conditions, the aim should be to monitor for the occurrence of fungi. If fungi cannot be detected then there is unlikely to be any mycotoxin contamination. The presence of fungi indicates the potential for mycotoxin production, and the need to consider the fate of the batch of commodity affected. While there are means of decontaminating affected commodities, all are relatively expensive, and their efficiency is still a matter of debate.

The need for simple, rapid, and efficient mycotoxin analysis methods that can be handled by relatively unskilled operators has been recognise and some progress made towards developing these.

The U.S. Federal Grain Inspection Service (FGIS) has evaluated eight commercially available, rapid tests for aflatoxin in maize. FGIS-approved kits include rapid ELISA, immunoaffinity cartridge, solid-phase ELISA, and selective adsorbent mini-column procedures.

There remains a need for efficient, cost-effective sampling and analysis methods that can be used in developing country laboratories.

Various governments have set regulatory limits for mycotoxins in food and animal foodstuffs presented for sale or import. For aflatoxin, guidelines range from 4 to 50 µg/kg (parts per billion). Regulatory limits for fumonisin are under consideration. For all mycotoxins, it is likely that, as analytical techniques and knowledge of the toxins improve, allowable limits will fall.

 


6. Summary

The presence of mycotoxins in grains and other staple foods and feedstuffs has serious implications for human and animal health. Many countries have enacted regulations stipulating maximum amounts of mycotoxins permissible in food and feedstuffs. Most developed countries will not permit the import of commodities containing amounts of mycotoxins above specified limits. Mycotoxins therefore have implications for trade between nations.

Prevention of fungal invasion of commodities is by far the most effective method of avoiding mycotoxin problems.

Mycotoxin considerations should be a component of an integrated commodity management program focusing on the maintenance of commodity quality from the field to the consumer.

 


7. Further information

Further information and advice about detecting and controlling mycotoxins in grain can be obtained from the member agencies of GASGA:

ACIAR-Australian Centre for International Agricultural Research GPO Box 1571, Canberra, ACT 2601, Australia. Fax: +61 6 217 0501.

CIRAD-Centre de Cooperation Internationale en Recherche Agronomique pour le Développement. Laboratoire de Technologie, CIRAD-CA, BP 5035, 34032 Montpellier Cedex 1, France. Fax: +33 67 61 44 44.

FAO-Food and Agriculture Organization of the United Nations Prevention of Post Harvest Food Losses, Agricultural Services Division Room B-661, FAO, Viale delle Terme di Caracalla - 00100, Rome, Italy. Fax: +39 6 52 25 68 50.

GTZ—Deutsche Gesellschaft fur Technische Zusammenarbeit GmbH Postfach 5180, 65726 Eschborn, Germany. Fax: +49 61 96 79 71 73.

NRI—Natural Resources Institute, University of Greenwich NRI Food Security Department, Central Avenue, Chatham Maritime, Chatham, Kent ME4 4TB, U.K. Fax: +44 1634 880 066.

The biannual GASGA Newsletter reports from time to time on progress and issues in research and development to combat the mycotoxin problem. The mailing list is free. To join it, send details to one or other of the three members of the GASGA Joint Secretariat: GTZ, NRI (see addresses above), and Mission de Cooperation Phytosanitaire ZAC d'Alco, BP 7309, 34184 Montpellier Cedex 4, France (fax: +33 67 03 10 21).

ACIAR publishes a quarterly newsletter, the Australian Mycotoxin Newsletter, which contains informative comment and abstracts of the latest papers from the world literature on fungi and mycotoxins in food and feedstuffs. The ACIAR Postharvest Newsletter, also published quarterly, reports from time to time on the results of mycotoxins projects and on the proceedings and outcomes of conferences in this topic area, and gives advance notice of forthcoming meetings of relevance. The mailing lists for these newsletters are free. Send details to ACIAR (address above).

ACKNOWLEDGMENTS

This leaflet draws on information in 'Mycotoxins in Food and Feedstuffs', a position paper compiled by the Mycotoxicological Committee of the GASGA Working Party on Fungi and Mycotoxins in Asian Food and Feedstuffs. Further thanks are due to Dr J. David Miller, Agriculture and Agri-Food Canada, for advice on various issues during preparation of the leaflet, and to Dr Ailsa Hocking, CSIRO Food Science and Technology, Australia, for photographs.

Technical Centre for Agricultural and Rural Cooperation (ACP-EU)

The Technical Centre for Agricultural and Rural Cooperation (CTA) was established in 1983 under the Lomé Convention between the African, Caribbean and Pacific (ACP) States and the European Union Member States.

CTA's tasks are to develop and provide services that improve access to information for agricultural and rural development, and to strengthen the capacity of ACP countries to produce, acquire, exchange and utilize information in these areas. CTA's programmes are organized around three principal themes: strengthening facilities at ACP information centres, promoting contact and exchange of experience among CTA's partners and providing information on demand.

CTA, Postbus 380, 6700 AJ Wageningen, The Netherlands


Contents